AU!
HITNO!!! SLOVENAČKI MEDIJ OBJAVIO NAVODNI DOKUMENT JANŠE O PROMENI GRANICA NA BALKANU: Pojedinosti su ŠOKANTNE!
Prema informacijama portala Necenzurirano, dokument pod nazivom „Zapadni Balkan - put napred“ primljen je u Mišelovom kabinetu u februaru
Slovenački portal "Necenzurirano.si" objavio je jutros tekst u kojem je sadržan i čuveni "non paper" dokument, o kojem se već nekoliko dana priča na celom Balkanu.
Podsetimo, spekulacije su postojale da je Janša predsedniku Evropskog saveta Šarlu Mišelu poslao nezvanični dokument, takozvani non-pejper, o „mirnom, konačnom raspadu SFRJ“.
Janša je pre dva dana negirao ovu tvrdnju, rekavši da se poslednji put sreo sa Mišelom prošle godine.
„Teško da bih mu fizički mogao predati bilo šta u februaru ili martu ove godine“ naveo je Janša. Dodao je da „Slovenija ozbiljno traži rešenja za razvoj regije i evropsku perspektivu zemalja Zapadnog Balkana, ali da se ovakvim napisima pokušava sprečiti taj cilj“.
Prenosimo delove teksta portala Necenzurirano:
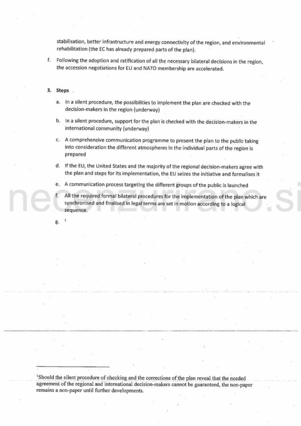
"Od ponedeljka se u Sloveniji, Hrvatskoj i Bosni i Hercegovini spekuliše da li je premijer Janez Janša zaista poslao nezvanični diplomatski dokument („non-paper“) u Brisel, koji govori o novom crtanju granica na području bivše Jugoslavije. Niko zvanično nije potvrdio da je predsednik Evropskog saveta Šarl Mišel od Slovenije dobio dokument takvog sadržaja. Ali nezvanični diplomatski dokument koji predviđa raspad Bosne i Hercegovine, pripajanje Republike Srpske Srbiji i ujedinjenje Kosova sa Albanijom zapravo postoji. Danas ga objavljujemo na Necenzurirano.si.
Prema našim informacijama, dokument pod nazivom „Zapadni Balkan - put napred“ primljen je u Mišelovom kabinetu u februaru. Ko ga je napisao ne može se zvanično znati. Prema našim izvorima, on sigurno nije napisan u slovenačkom Ministarstvu spoljnih poslova. Prema nekim informacijama, deo njegovog sadržaja napisan je u Budimpešti. Ipak, u briselskim diplomatskim krugovima se o njemu govori kao o „slovenačkom“ dokumentu, jer je navodno Janšin kabinet učestvovao u njegovom slanju na različite adrese. Kako je reč o nezvaničnom diplomatskom dokumentu namenjenom komuniciranju različitih stavova i inicijativa bez zvaničnog karaktera, on nema ni glavu ni potpis. Došao je kod Mišela mimo zvanične diplomatske pošte, pa njegovo postojanje može biti javno porečeno u bilo kom trenutku.
Prema tome, to nije zvanični stav Slovenije, već samo jedan od neformalnih predloga za moguće rešenje pitanja koja se tiču zemalja bivše Jugoslavije.
Dokument tako u uvodu pominje „nerešena nacionalna pitanja Srba, Albanaca i Hrvata“ koja su se pojavila nakon raspada Jugoslavije. Autori dokumenta ističu da i nakon uspostavljanja mira nakon završetka ratova, obećanih evropskih perspektiva i napretka Severne Makedonije i Crne Gore u ovom pravcu u regionu, „ključna pitanja ostaju nerešena“ su:
- da je Dejtonski sporazum 1995. godine, kojim je okončan rat u Bosni i Hercegovini, koji je odneo više od 100.000 života, praktično prepoznao ono što je postignuto tokom rata, ali ne u principu
- da je trenutno teško zamisliti evropske perspektive Srbije i Kosova
- da se članstvo BiH u EU može u potpunosti isključiti
- da je u međuvremenu prazan prostor iskoristila Turska, koja je povećala svoj uticaj u BiH i sjevernoj Makedoniji
- da osim Turske, nekolicine lokalnih političara i njihovih pristalica koji lično imaju koristi od haosa i nefunkcionalnih institucija, niko nije zadovoljan situacijom u BiH
Autori dokumenta naglasili su da Srbija, Hrvatska i Albanija trenutno imaju stabilne vlade i da su njihovi izabrani političari sposobni da donose strateške odluke. Pa šta oni predlažu?
1) Ujedinjenje Kosova i Albanije. "Na Kosovu 95 odsto stanovništva želi da se ujedini sa matičnom albanskom nacijom. Slična je situacija i u Albaniji. Granica između Albanije (članice NATO-a) i Kosova praktično ne postoji. Srpski deo Kosova dobio bi poseban status - po uzoru na Južni Tirol “, navodi se u dokumentu. To je autonomna pokrajina na severu Italije, gde je većina stanovništva nemačkog govornog područja.
2) Ujedinjenje većine teritorije Republike Srpske sa Srbijom. "Srpsko nacionalno pitanje može se u velikoj meri rešiti pripajanjem dela Republike Srpske Srbiji. U ovom slučaju, Srbija je spremna da pristane na ujedinjenje Kosova i Albanije", navodi se u dokumentu.
3) „Hrvatsko nacionalno pitanje može se rešiti spajanjem većine hrvatskih kantona u BiH sa Hrvatskom ili davanjem posebnog statusa hrvatskom dijelu BiH (po uzoru na Južni Tirol)“.
4) "To bi Bošnjacima dalo nezavisnu funkcionalnu državu i preuzelo punu odgovornost za nju. Na referendumu bi ljudi odlučivali da li će se pridružiti EU ili budućnosti izvan EU (po uzoru na Tursku. Za sada ogromna većina Bošnjaka podržava perspektivu EU ali u slučaju naglog porasta turskog uticaja i radikalnog islama, situacija bi se mogla drastično pogoršati tokom naredne decenije “.
Bonus video:
(Espreso/Necenzurirano.si)
Uz Espreso aplikaciju nijedna druga vam neće trebati. Instalirajte i proverite zašto!




