formula
"Potpuna glupost, kako je ministar ovo mogao da potpiše": Isplivala tačna formula po kojoj je Tramp računao tarife
Zemlje u kojima SAD ostvaruju trgovinski suficit takođe su bile pogođene carinom od fiksnih 10 odsto
Administracija predsednika Donalda Trampa izračunala je svoj niz novih carina prvenstveno na osnovu postojećih trgovinskih bilansa - što je odstupanje od ranijih obećanja da će carinske stope i druge trgovinske barijere uskladiti s onima iz drugih zemalja.
U izjavi u sredu uveče, kojom je pojašnjena metodologija za carine koje su potresle svetsko tržište, Kancelarija trgovinskog predstavnika SAD (USTR) detaljno je opisala formulu koja deli trgovinski suficit neke zemlje sa SAD s njenim ukupnim izvozom, koristeći podatke Američkog zavoda za statistiku iz 2024. godine. Dobijeni broj zatim je podeljen sa dva, čime se dobila "diskontirana" stopa.
Primera radi, Kina je prošle godine imala trgovinski suficit sa SAD od 295 milijardi dolara na ukupan izvoz od 438 milijardi dolara - proporcija od 68 odsto. Prema Trumpovoj formuli, kada se taj broj podeli sa dva, dobija se carinska stopa od 34 odsto. Ista metoda iskorišćena je za određivanje carinskih stopa za druge ekonomije poput Japana, Južne Koreje i Evropske unije.
Zemlje u kojima SAD ostvaruju trgovinski suficit takođe su bile pogođene carinom od fiksnih 10 odsto, bez obzira na razmere trgovine, kao i one gde je trgovinski bilans približno izjednačen.
U izjavi USTR-a navedeno je da bi, iako je tehnički moguće da se izračunaju stope na osnovu stvarnih trgovinskih prepreka, ova metodologija bolje postigla Trampov cilj smanjenja trgovinskih deficita.
"Dok je pojedinačno izračunavanje učinaka trgovinskog deficita za desetine hiljada carinskih, regulatornih, poreskih i drugih politika u svakoj zemlji složen, ako ne i nemoguć zadatak, njihov se kombinovani učinak može proceniti određivanjem carinske stope koja je dosledna smanjenju bilateralnih trgovinskih deficita na nulu", stoji u izjavi, koja nije bila potpisana.
Trump je u sredu u Rose Gardenu predstavio niz novih carina, okrećući ploču s nizom stopa zasnovanih na "carinama naplaćenim SAD" i, u pola iznosa, "diskontiranoj recipročnoj carini".
Kako se došlo do formule
Način obračun carina uglavnom je bio nepoznat uoči Trampove objave. Dodatno je zbunilo to što su se stope koje je Trump objavio neznatno razlikovale od onih u prilogu uz njegovu izvršnu naredbu. Tako je, recimo, Južna Koreja na Trumpovoj ploči bila navedena sa stopom od 25 odsto, dok je u prilogu stajala stopa od 26 odsto.
Trumpova administracija prethodno je navela da će se stope izračunavati tako što se uzimaju u obzir i carine i necarinske prepreke, uključujući poreze. Trumpova ploča prikazivala je stope pod kategorijom "Carine naplaćene SAD, uključujući manipulaciju valutom i trgovinske barijere".
Međutim, stvarna formula koja je korišćena za izračunavanje carina nije bila ona koju je Bela kuća u početku ukazivala.
U memorandumu od 13. februara, kojim je najavio recipročne carine, Trump je naložio analizu "sveobuhvatnog opsega, koja ispituje nerecipročne trgovinske odnose sa svim trgovinskim partnerima SAD", uključujući njihove carine, poreze, necarinske prepreke, manipulaciju valutom i "bilo koju drugu praksu" koja "nameće svako nepravedno ograničenje pristupa tržištu ili strukturnu prepreku poštenoj konkurenciji".
Iako trgovinski bilansi nisu bile izričito navedeni, u memorandum je zasebno naglašeno da je nerecipročna trgovina "jedan od izvora velikog i dugotrajnog godišnjeg trgovinskog deficita SAD u robi".
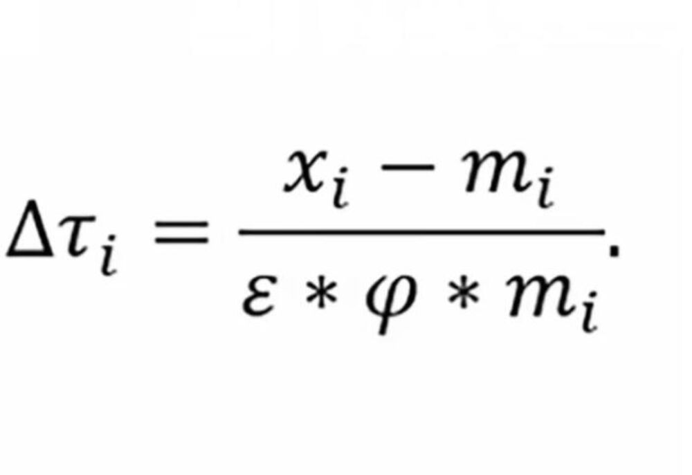
Trampova formula podrazumevala je i dva dodatna parametra - cenovnu elastičnost potražnje za uvozom i elastičnost uvoznih cena u odnosu na carine. Te vrednosti su bile postavljene tako da su se međusobno poništavale, što je u konačnici značilo množenje sa jedan.
Carinska stopa (%) = (Trgovinski suficit zemlje sa SAD-om / Ukupni izvoz te zemlje u SAD) / 2) × 100
Primer za Kinu:
Trgovinski suficit: 295 milijardi USD
Ukupni izvoz: 438 milijardi USD
Izračun:
(295 / 438) = 0,68 → 0,68 / 2 = 0,34 → 0,34 × 100 = 34%
Dakle, carinska stopa iznosi 34%.
Slično je i na primeru carine za Srbiju.
"Ovo je neverovatna glupost"
Džejms Surovicki, finansijski analitičar i novinar magazina The Atlantic i The New Yorker, kaže da su Sjedinjene Američke Države podelile trgovinski deficit sa uvozom iz određene zemlje kako bi došle do juče objavljenih carinskih stopa.
– Ovo je neverovatna glupost – napisao je Surovicki. – Kako je, zaboga, Skot Besent (Trampov ministar finansija) pristao da ovo potpiše?
Zatim je objasnio:
– Pri izračunu carinske stope, Trampovi ljudi su koristili samo trgovinski deficit u robi. Dakle, iako imamo suficit u trgovini uslugama sa svetom, taj izvoz se ne računa kad je reč o Trampu.
Dopisnik Sky Newsa iz SAD-a, Mark Stoun, takođe je ukazao na „očiglednu obmanu u vezi s carinama“.
Poput Surovickog, i on je primetio nešto neobično u vezi s carinama koje je Tramp nametnuo Južnoj Koreji.
– Pogledajte Južnu Koreju, s kojom SAD ima trgovinski sporazum. Oni ne naplaćuju carine od 50 procenata na američki izvoz, kako Tramp tvrdi. Da li EU zaista naplaćuje SAD-u carine od 39 procenata? Naravno da ne. Trampov tim u svoje proračune dodaje iznose za neobjavljenu „valutnu manipulaciju“ i necarinske barijere – zaključio je Stoun.
Bonus video:
Uz Espreso aplikaciju nijedna druga vam neće trebati. Instalirajte i proverite zašto!




